气动测温热电偶探针误差分析及解决办法
来源:www.tx7878.cn/rdou/作者:发表时间:2018-02-27 10:45:16【小中大】
摘 要:涡轮前温度是衡量航空发动机性能的重要参数,精确的温度测量对于发动机研发实验具有重要意义。气动测温探针相对于传统测量方法具有结构简单,成本低,可以使用量程小精度高的测温热电偶间接测量高温燃气温度等优点。然而在实验中发现存在较大偏差,本文结合探针的结构对误差产生原因进行分析,进而探讨探针测温误差的解决方法。
1 气动探针测温原理
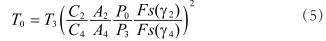
图 1 是双喉道气动测温探针结构简图。探针通过制造进出口压差使待测燃气通过截面 1 进入探针并在第一喉道截面 2 处达到雍塞状态。燃气通过 2—3 截面时通过水冷腔体对高温燃气流进行冷却使燃气温度降到 3 截面热电偶的许用量程内。燃气再次以雍塞状态通过第二喉道截面 4 处,由通过前后两个喉道燃气质量流量相等的原理及双喉道均达到雍塞状态来测量燃气总问 T 0。

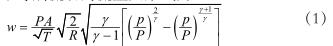
假定气流通过前后两个喉道时是假定气流为平衡、等熵、定常的一维均质流。喷管一维等熵流动的流量关系式为 :
当喉道出雍塞时,由气动函数可把公式(1)可简化为:
其中
式中 w 为气体质量流量, P 为气流总压,p 为气流静压,A 为喷管喉道横截面积,T 为气流总温,γ 为气流比热比,R 为气体常数。 定义流量系数 C 为实际流量am 与理想流量im 之比。在稳态流动条件下,由探头的前后两个限流截面的流量相等,则:
角标 0-4 为探针工作原理图 1 中所划分截面。
解得上游喷管前温度:
当忽略燃气比热比影响时 ( 取燃气比热比为定值 γ=1.33) 。
C 为探针系数在常温下(0 3T T = )由公式(6)标定得到。
2 探针测温误差及原因分析
(1)热电偶产生的测量误差。测温探针工作依据公式(6),探针热电偶所在截面如图 2 所示。冷却后气流总温 T 3 的测量的准确性对探针测量准确性影响较大。气动探针由于为水套冷却结构,限于尺寸,探针中热电偶只得采用裸露型,由高温燃气与水冷内壁面产生的温差必然导致辐射误差的产生。由于探针支杆内部气流速度较高,局部位置达到声速,而裸露的热电偶对高速气流只有一定的滞止作用,并非完全绝热滞止。因此热电偶会引入一定的速度误差对测量结果造成影响。
(2)燃气比热比的影响。探针计算公式(6)是取燃气比热比为常数,即该探针在测量燃气温度时喉道 2、4 截面的比热比为燃气工程常用数值 1.33。但在实际探针工作中,由于经过探针的燃气经水冷冷却,喉道截面 2 与 4 经冷却水冷却后温度相差较大,并且燃气成分比随着空燃比的不同也会发生变化,燃气比热比并非常数。
(3)探针第一喉道热变形的影响。当探针进行温度测量时,探针头部浸入高温燃气流中,由于探针头部收到高温气流冲击,难以避免的第一喉道截面面积会发生变化。有公式(6)可知第一喉道的面积变化也会对探针测量引入误差。
3 探针测温误差的修正
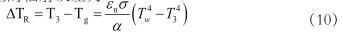
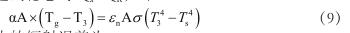
(1)对热电偶的修正。在一般热点偶中对于辐射误差一般使用遮热罩,对于速度误差使用滞止罩等措施来避免或减弱误差。然而对与该探针由于结构尺寸的原因上述方法不能采用,只能进行数值修正。对热电偶结点进行传热分析知其热量传递有三种方式,热点偶结点与燃气流的对流换热,与流道内壁的辐射传热,与保护瓷管的导热。在热电偶使用、安装正确的情况下其导热误差可以忽略不计。设燃气温度为 T g ,热电偶测温示值为 T 3 ,探针支杆内壁面温度为 T w ,高温燃气主要以对流换热方式传热给热电偶,忽略燃气对热电偶的导热和辐射换热,其传热量为:
其中,α 是燃气对热电偶的对流传热系数;A 是热电偶的传热表面积。
热电偶与探针支杆内壁面的热交换,主要以辐射方式进行。
其中,ε n 为热电偶的辐射率;σ 为波尔兹曼常数。
当热电偶测温达到稳态时 Q a =Q R ,即:
热电偶测温产生的辐射误差为:
相关产品推荐:翻板液位计
推荐资讯
- 煤化工硫回收焚烧炉热电偶失效分析及延寿改2020-10-15
- 微孔铂热电阻的加热与冷却的切换是如何进行2016-10-29
- WZPK-236 WZPK-236S WZPK-236SA铠装热电阻2018-10-30
- 铠装热电偶的设计与研制2019-11-05
- 早于文艺复兴时期热电偶等温度仪表就已开始2018-03-30
- 防爆型热电阻2016-09-12
- WRNK-231铠装热电偶2018-10-29
- 铂铑热电偶套管如何使您的应用受益2018-10-16
推荐产品
- WZPK-334 WZPK-334S WZPK-334SA铠装热电阻2018-10-30
- WSS-571双金属温度计2018-10-30
- 铠装热电偶2016-09-12
- WZPN-230耐磨热电阻2018-10-30
- WRNK-101铠装热电偶2018-10-29
- WRN-220装配式热电偶2018-10-29
- 铂铑热电偶2016-09-12
- WSSX-551电接点双金属温度计2018-10-30
- WRN2-320装配式热电偶2018-10-29
- WRNK2-532铠装热电偶2018-10-30
- 耐磨热电阻2016-09-12
- WRNK-1315多点铠装热电偶2018-10-29
- WZPK-266 WZPK-266S WZPK-266SA铠装热电阻2018-10-30
- WRP-121装配式热电偶2018-10-29
- 热套式热电阻2016-09-12
- WZPN2-631耐磨热电阻2018-10-30
- WRN-120装配式热电偶2018-10-29
- WZP2-131装配式热电阻2018-10-30
- WRN2-120装配式热电偶2018-10-29
- WSS-581双金属温度计2018-10-30
- WRNK-332铠装热电偶2018-10-29
- WRN2-240A隔爆本安型热电偶2018-10-30
- WRNR-15A低温低压热电偶2018-10-30
- WRNK-591铠装热电偶2018-10-30
- WRN2-123装配式热电偶2018-10-29
- WZPN2-330耐磨热电阻2018-10-30
- WZPK-163 WZPK-163S WZPK-163SA铠装热电阻2018-10-30
- WSSP-401一体化双金属温度计2018-10-30
- WZPK-425 WZPK-425S WZPK-425SA铠装热电阻2018-10-30
- 双芯铂铑热电偶2017-09-21
- 柔性铠装热电偶2017-10-26
- WRNK-221铠装热电偶2018-10-29
- WRNR-01热套式热电偶2018-10-30
- WRNK2-521铠装热电偶2018-10-30
- WZPK-333 WZPK-333S WZPK-333SA铠装热电阻2018-10-30
- WZP2-24SA隔爆热电阻2018-10-30
- WRP2-130装配式热电偶2018-10-29
- WRN2-430F防腐热电偶2018-10-29
- WSSE-501一体化双金属温度计2018-10-30
- WRNK2-131铠装热电偶2018-10-29
- WRN2-640A隔爆本安型热电偶2018-10-30
- WRNK2-322铠装热电偶2018-10-29
- WRNR2-01热套式热电偶2018-10-30
- WRNK-121铠装热电偶2018-10-29
- WRNK-192铠装热电偶2018-10-29
- WRN-130装配式热电偶2018-10-29
- WZPN-331耐磨热电阻2018-10-30
- WZPK-263 WZPK-263S WZPK-263SA铠装热电阻2018-10-30
- WRN-230F防腐热电偶2018-10-29
- WRNR-12烟道、风道热电偶2018-10-30









