热敏电阻和RTD之间的定义与性能比较
来源:www.tx7878.cn/rdou/作者:发表时间:2018-04-13 17:02:15【小中大】
热敏电阻和RTD两者都是吨emperatures测量装置。RTD和热敏电阻之间的主要区别在于RTD 由金属制成,而半导体材料用于热敏电阻。热敏电阻和RTD之间的其他差异在下面的比较图中进行了说明。
由于热敏电阻由半导体材料制成,因此它们具有负温度系数和正温度系数。但其中大多数热敏电阻具有负温度系数,即其电阻随着温度的升高而降低。由于热敏电阻可以检测到温度的微小变化,所以负温度系数可以足够大到几个百分比的温度增加。
RTD由铂,镍等纯金属制成,具有正温度系数。正温度系数意味着它们的电阻随着温度而增加,这是RTD的主要功能。RTD用于测量温度的大变化。

RTD的定义
RTD代表电阻温度检测器。RTD被定义为用于测量温度的电阻器。它的工作原理是电阻随着温度的变化而变化。

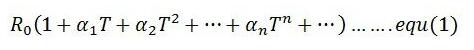
导体的电阻随温度变化,导体的这种特性用于RTD测量温度。RTD由铂,镍,铜等纯金属制成。与导体有关的电阻变化由以下公式解释。

电阻温度计方程铂用于RTD,因为它可以承受高温并且具有很高的稳定性。这些金属具有高温系数,即它们的温度随着温度的升高而增加,并且这种金属的性质被用于RTD中。
热敏电阻的定义
热敏电阻是用于测量温度的热敏电阻。它由半导体材料制成,因为它具有正负温度系数。正温度系数意味着温度随着电阻的增加而增加,并且在负温度系数中温度与电阻成反比。

热敏电阻用于测量小范围的温度,接近-60ºC至15ºC。热敏电阻中的电阻范围为0.5 - 0.75Ω。它是用于测量家电温度的极其敏感的设备。
RTD和热敏电阻之间的主要区别:
RTD是一种用于测量温度的仪器,而热敏电阻则是电阻随温度变化的热敏电阻。
RTD由具有正温度系数的金属制成,而热敏电阻由半导体材料制成。
与热敏电阻相比,RTD的准确度较低。热敏电阻具有负温度系数,因此即使温度变化最小,也能检测到。
热敏电阻对小变化作出快速响应,而RTD的响应时间很慢。
热敏电阻用于测量高达130ºC的小范围温度,而RTD测量温度高达660ºC。
RTD电阻和温度之间的特性曲线是线性的,而热敏电阻则是非线性的。
与热敏电阻相比,RTD不够灵敏。
与热敏电阻相比,RTD的尺寸要大得多。
热敏电阻的成本远高于RTD。
与热敏电阻相比,RTD的电阻率更小。
与RTD相比,热敏电阻的滞后效应要高得多。
RTD用于测量高温的行业,而热敏电阻则用于家用电器测量小温度。
结论
RTD和热敏电阻都是温度传感器。RTD用于测量高温,热敏电阻用于测量小型设备的温度。
推荐资讯
- 湿热箱用铠装热电偶制作工艺规范2019-11-11
- WSSX-301电接点双金属温度计2018-10-30
- WZP-230F防腐热电阻2018-10-30
- 浅谈冻结法在地铁联络通道施工中的应用2019-10-24
- K型热电偶如果断线了如何检测的具体方法2020-10-26
- WSSP-481一体化双金属温度计2018-10-30
- WZPK-523 WZPK-523S WZPK-523SA铠装热电阻2018-10-30
- 运用3D打印对耐磨热电偶生产进行技术性创新2019-09-09
推荐产品
- WRNK2-231铠装热电偶2018-10-29
- WRN2-640A隔爆本安型热电偶2018-10-30
- WRNK-431铠装热电偶2017-09-21
- WRN2-220A装配式热电偶2018-10-29
- WSSE-401一体化双金属温度计2018-10-30
- WRNK-181铠装热电偶2018-10-29
- WRN-240A隔爆本安型热电偶2018-10-30
- WRN2-230F防腐热电偶2018-10-29
- WSS-301双金属温度计2018-10-30
- WZPK-423 WZPK-423S WZPK-423SA铠装热电阻2018-10-30
- 高温防腐热电偶2016-09-12
- WRNK-492铠装热电偶2018-10-30
- WSSX-561电接点双金属温度计2018-10-30
- WRNN2-430耐磨热电偶2018-10-29
- WRNR2-01热套式热电偶2018-10-30
- WRNN2-330耐磨热电偶2018-10-29
- WRNK-102铠装热电偶2018-10-29
- WRN2-440A隔爆本安型热电偶2018-10-30
- WRNK2-221铠装热电偶2018-10-29
- WRN2-420装配式热电偶2018-10-29
- WRNK-101铠装热电偶2018-10-29
- 水泥厂窑炉用耐磨热电偶2017-09-20
- WZPK-225 WZPK-225S WZPK-225SA铠装热电阻2018-10-30
- WRN-130装配式热电偶2018-10-29
- WZPN-330耐磨热电阻2018-10-30
- WRNK-322铠装热电偶2018-10-29
- WRNK-221铠装热电偶2018-10-29
- WRNN-631耐磨热电偶2018-10-29
- WRNK-522铠装热电偶2018-10-30
- WRNK-292铠装热电偶2018-10-29
- WZP-131F防腐热电阻2018-10-30
- WSSX-301电接点双金属温度计2018-10-30
- WSS-481双金属温度计2018-10-30
- WRNK-431铠装热电偶2018-10-30
- WZPK-536 WZPK-536S WZPK-536SA铠装热电阻2018-10-30
- WRNK-191铠装热电偶2017-09-21
- 铂铑热电偶2016-09-12
- WRNK-1316多点铠装热电偶2018-10-29
- WRNR-01热套式热电偶2018-10-30
- WRN-133装配式热电偶2018-10-29
- 水泥厂专用耐磨热电偶2017-09-20
- WZPK-363 WZPK-363S WZPK-363SA铠装热电阻2018-10-30
- WZP-430F防腐热电阻2018-10-30
- WRNK-282铠装热电偶2018-10-29
- WRP2-120装配式热电偶2018-10-29
- WZP2-430装配式热电阻2018-10-30
- WZCM-201端面热电阻2018-10-30
- WSS-451双金属温度计2018-10-30
- WRNK2-532铠装热电偶2018-10-30
- WZPK-125 WZPK-125S WZPK-125SA铠装热电阻2018-10-30









