ITS-90热电偶正多项式和逆多项式
来源:www.tx7878.cn/rdou/作者:发表时间:2018-06-08 15:10:24【小中大】
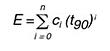
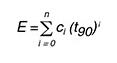
正多项式从一个已知温度(˚C)提供热电电压(μV);逆多项式从一个已知热电电压(μV)提供温度(˚C)。
J型热电偶-参考方程的系数ci作为指示温区的温度t的函数给出热电电压E。方程的形式为:90

式中E的单位为毫伏,t90的单位为摄氏度。

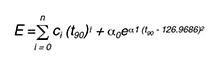
K型热电偶-参考公式的系数α0作为指示温区的温度t90、α1和αi的函数给出热电电压E。0˚C以下的方程形式为:

0˚C以上的方程形式为:

式中e是自然对数常数,E的单位为毫伏,t90的单位为摄氏度。

J型热电偶-近似反函数的系数作为热电电压E的函数给出 选定的温度和电压范围内的温度t90。函数的形式为:
![]()
式中E的单位为毫伏,t90的单位为摄氏度。

K型热电偶-近似反函数的系数作为热电电压E的函数给出选定的温度和电压范围内的温度t90。函数的形式为:
![]()
式中E的单位为毫伏,t90的单位为摄氏度。
相关产品推荐:翻板液位计推荐资讯
- 铂铑热电偶的黄金时代:推动下一次工业革命2019-10-09
- k型热电偶热端封装解决响应延迟的解决方案2017-10-13
- 热电偶信号采集电路分析以及优化方法2016-10-28
- WRNK-202铠装热电偶2018-10-29
- 使用MAX31855和PICAXE测量热电偶温度的集成2016-11-09
- 热敏电阻的各种应用详细解析2018-04-23
- 最大限度地延长旧版K型热电偶安装的使用寿2019-08-19
- WRNK-322铠装热电偶2018-10-29
推荐产品
- WSSP-401一体化双金属温度计2018-10-30
- WRR2-131装配式热电偶2018-10-29
- WZPK2-24隔爆铠装热电阻2018-10-30
- WRNN-430耐磨热电偶2018-10-29
- WRNK-231铠装热电偶2017-09-21
- WRN-240A隔爆本安型热电偶2018-10-30
- WSSX-561电接点双金属温度计2018-10-30
- B型1800℃高温熔窑热电偶WRB-1302017-10-31
- WZP-131装配式热电阻2018-10-30
- WZP-24SA隔爆热电阻2018-10-30
- WZPK-324 WZPK-324S WZPK-324SA铠装热电阻2018-10-30
- WRNR2-15A低温低压热电偶2018-10-30
- WSSX-501电接点双金属温度计2018-10-30
- WRNK-392铠装热电偶2018-10-29
- WZP2-631装配式热电阻2018-10-30
- WSS-311双金属温度计2018-10-30
- WRNR2-13高温高压热电偶2018-10-30
- WZPM-201端面热电阻2018-10-30
- 防爆型热电阻2016-09-12
- WZPK-163 WZPK-163S WZPK-163SA铠装热电阻2018-10-30
- WZP-231F防腐热电阻2018-10-30
- WZPK-524 WZPK-524S WZPK-524SA铠装热电阻2018-10-30
- WZPK-335 WZPK-335S WZPK-335SA铠装热电阻2018-10-30
- 低温喷涂耐磨热电偶2017-09-20
- WRNK-440隔爆本安型铠装热电偶热电偶2018-10-30
- WZPK-125 WZPK-125S WZPK-125SA铠装热电阻2018-10-30
- WRNR2-15低温低压热电偶2018-10-30
- WRP2-131装配式热电偶2018-10-29
- WZPK-525 WZPK-525S WZPK-525SA铠装热电阻2018-10-30
- WRNN2-631耐磨热电偶2018-10-29
- WZPK-124 WZPK-124S WZPK-124SA铠装热电阻2018-10-30
- WRNK-431铠装热电偶2017-09-21
- WRR-130装配式热电偶2018-10-29
- WZPK-564 WZPK-564S WZPK-564SA铠装热电阻2018-10-30
- WRNK-281铠装热电偶2018-10-29
- WZPK-126 WZPK-126S WZPK-126SA铠装热电阻2018-10-30
- 双金属温度计2016-09-12
- WRN-420A装配式热电偶2018-10-29
- WRNN-330耐磨热电偶2018-10-29
- WRNK-322铠装热电偶2018-10-29
- WZPN2-331耐磨热电阻2018-10-30
- WZPK-135 WZPK-135S WZPK-135SA铠装热电阻2018-10-30
- WZPK-224 WZPK-224S WZPK-224SA铠装热电阻2018-10-30
- WSSXE-401一体化双金属温度计2018-10-30
- WRN-330F防腐热电偶2018-10-29
- WRNK-192铠装热电偶2018-10-29
- 防腐热电阻2016-09-12
- WRN2-230装配式热电偶2018-10-29
- WRNK-1314多点铠装热电偶2018-10-29
- WZP2-130装配式热电阻2018-10-30









