考虑铠装热电偶和流固耦合的缸盖热-机动态应力场研究
来源:www.tx7878.cn/rdou/作者:发表时间:2019-10-23 14:07:13【小中大】
摘要:为详细研究气缸盖的动态热机耦合应力场,进行了一系列铠装热电偶实验,并提出提出一种修正后的 RPI 模型,在该模型的基础上建立了冷却液缸盖的流固耦合计算模型,同时建立了柴油机的工作过程计算模型。以上述模型为基础,对某重型柴油机缸盖的温度场,热应力场,热机耦合应力场以及动态热机耦合应力场进行了分析,结果显示螺栓预紧力对缸盖的热机耦合应力影响最大,缸盖底部排气门鼻梁区的热负荷较重,应该引起足够的重视。
引言
随着发动机功率密度的逐步增加,气缸盖的工作环境也越来越差,除了承受缸内燃气的冲击之外,还会受到螺栓预紧力的作用以及进排气门落座时的撞击。其工作状态的好坏直接关系着进排气体的流动,缸内燃气的燃烧进而决定着整机的工作状态。因此详细研究缸盖在工作状态下受到的热机耦合应力,可以为设计制造,优化改进缸盖的几何形状,提升整机可靠性和寿命提供有益借鉴和参考。与此同时,随着柴油机功率的提升,其缸内铠装热电偶 的现象越来越多,因此必须针对缸内铠装热电偶的情况进行实验研究并提出更加准确地传热计算模型,从而提升整体分析的准确性和可靠性。
1 铠装热电偶实验与分析
1.1 铠装热电偶模型
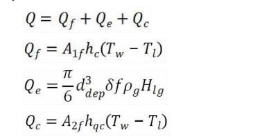
基于前人研究的基础,笔者选取 RensselaerPolytechnic Institute(RPI)铠装热电偶模型:

式中:Qf 为对流传热热量;Qe 为蒸发传热热量;Qc 为 相之间的激冷传热热量。A1f 为与核泡面积相关的常数;hc 为对流传热系数;TW 为壁面温度;Tl 为冷却液温度。f 表示单位时间形成气泡的数量;ρg 生成气泡气体的密度;Hlg 为冷却液的气化潜热。A2f 为不受核泡面积影响的系数。
1.2 实验原理与装置
气缸盖冷却水腔结构复杂,基于现有实验测试手段很难对其内沸腾换热现象进行可视化观察,因此笔者所在课题组在华中科技大学的帮助下利用其搭建的沸腾传换热 模拟实验台对铠装热电偶过程进行研究。其组成设备包括液 体储存罐、水泵、旁通阀、冷凝散热器、受热件、照明设备、 热电偶、压力传感器和涡轮流量计等。图 2 所示为实验所用的台架,图 3 为加热装置的工作原理示意图。

1.3 模型的验证
通过实验结果与计算结果的对比,可以发现气液两相流之间铠装热电偶计算的准确性与关系式中气泡的生成过 程有着很大的关系,因此,需要对上述参数进行修正。参考相关文献资料及计算得到的数据,进行如下修正:表面张力系数:0.069N/m,气泡参考分离直径:8mm,最大分离直 径:3.5mm。修正后的模型精度得到很大提高,其中最大误差为6.46%,平均误差为 3.53%,误差满足工程需要,可以用于 进行仿真研究。
2 缸内流固耦合传热研究
2.1 建立模型
为详细分析气缸盖内冷却液流动换热情况,建立了柴油机冷却液流固耦合传热模型。综合考虑计算机硬件 条件的限制、计算成本等因素,只对上述模型最左侧气缸内部的流动换热规律进行计算。模型的网格划分如图 4 所示。

2.2 边界条件的确定
边界条件设置如下,模拟计算时采用稳态、压力基求 解模式,其中水力直径的计算公式如下:式中:Di———入口处的水力直径,m; A———流体区域面积,m2; PW———湿周长,m。
2.3 结果分析
如图 5 所示为利用上述模型计算得到的冷却液流动迹线图。从图中可以看出:冷却液在进出口区域以及上水口附近流速最大,在气缸套上部远离上水口的区域流速较慢。气缸套上部又是整个气缸套温度最高的部位,因此需 要引起足够的重视,可以通过增加上水口个数来缓解这种情况,其余部位的流动散热情况较为理想。
3 其它边界条件分析
3.1 温度场边界条件
本文以某大功率柴油机的气缸盖为例进行分析计算 得到的缸内燃气温度和换热系数的变化规律如图 6 所示。

3.2 机械应力场边界条件
工作过程中,气缸盖受到的机械力包括缸内燃气压力,螺栓预紧力以及气门座过盈力等。 ①缸内燃气压力。由工作过程仿真模型计算得到的缸内燃气压力随曲轴转角的变化规律如图 7 所示。②螺栓预紧力。该柴油机上气缸盖的螺栓预紧力为 153.8kN。③其它边界条件。根据相关文献的处理方法,设置气门座过盈力为 50kN,配气机构作用力,进排气道作用力,气门室罩作用力等忽略不计。

4 缸盖热机动态应力场分析
4.1 建立模型
利用 Pro-e 软件建立的气缸盖三维几何模型。划分完成后共得到 501762 个单元,874175 个节点。
4.2 缸盖热机耦合动态应力场分析
计算得到气缸盖在 8、128、248、368、488、608 度曲轴转角对应时刻的热-机械耦合应力分别如图 8 至图 13 所示。从图中可以看出:气缸盖的热-机械耦合应力随曲轴转角的变化变动很小,说明缸内燃气压 力对气缸盖的热-机械耦合应力影响有限,因此可以推断出热应力、螺栓预紧力才是决定其热机耦合应力的主要因素。另外,气缸盖尤其是鼻梁区的热负荷一直较重,导 致此处的热应力成为耦合应力的重要影响因素。
5 总结
本文基于缸内铠装热电偶的实验结果和 流固耦合的分析方法,对某重型柴油机气缸盖的温度场,热应力场,热-机械耦合应力场以及动态热机耦合应力场进行了计算分析,完成的工作主要包括:
①依据铠装热电偶的实验结果对RPI模型进行修正,修正后的模型计算精度有了 明显的提高,平均误差为 3.53%。
②基于所建立的柴油机三维几何模型,冷却水道流动模型以及修正后的 RPI 模型对整机进行了流固耦合传热计算分析。
③对气缸盖的动态热-机械耦合应力场进行了计算分析。结果显示,螺栓预紧力是耦合应力的主要影响因素,同时在整个工作过程中排气门鼻梁区的热负荷一直较 重,应该引起足够的重视。
推荐资讯
- 新型热电偶套管可减少疲劳失效2018-08-31
- 热电阻温度检测器采用的双线变送器及其工作2018-09-05
- WRN2-420装配式热电偶2018-10-29
- 科学家打造出更耐用的铂铑热电偶2019-10-26
- 如何正确选择热电偶热套管材质2016-10-31
- 热电偶的连接头是热电偶组成部分里不可或缺2018-05-24
- 为什么有人会选择热电偶而不是RTD呢?2018-07-17
- WRE2-430NM煤粉仓耐磨热电偶2017-09-20









