差压变送器

如果您喜欢我们的网站,可以添加到搜藏夹!联系电话:0517-86998326、0517-86998328;手机:18952302362;联系QQ:526929973

新型撬装式单井三相流量计量装置的研制及应用原理分析

作时间:2019-07-05  来源:中石化胜利油田分公司信息化管理中心,荆州市明德科技有限公司  作者:鲁玉庆,刘骏,王雄,戴刚,周发文
   
[摘要]研制了一种新型撬装式单井三相流量计量装置,基本组成包括三相流体积流量计、差压变送器、含水分析仪、压力变送器、温度变送器、积算与显示仪表、测试管汇与撬装座体。撬装式单井三相流量计量装置结构简单、方便使用、易于维护,不需要气液两相或油、水、气三相分离就可实现三相流量各自准确计量。
原油单井计量对于掌握单井不同开采时期油井产能、三相含量的变化规律,调整、优化驱油与抽油的生产参数,保证稳产及增产节能有十分重要的意义[1~3]。由于各油田原油成分及物性差异大,简易的两相或三相分离计量装置又很难分离干净彻底,导致计量误差大;而昂贵复杂的装置不适合单井现场使用[4~6]。当前在用的单井计量装置,比如各种气液两相分离单井计量装置,实际计量系统误差都接近10%[7];而各种称重罐只能计量油水混合流量,却不能计量含水量、含气量。为此,笔者研制了一种新型撬装式单井三相流量计量装置。
1 组成特征
研制的新型撬装式单井三相流量计量装置基本组成如图1所示
 撬装式单井三相流量计量装置基本组成
1)三相流体积流量计、含水分析仪、压力变送器、温度变送器都通过安装接口安装在测试管汇上,与输送的原油相通,积算与显示仪表有电气连接;测试管道设有输入口、输出口,并通过设置的安装接口将各仪表及截止阀连通成管汇;截止阀安装在测试管道的原油输入口后面;积算与显示仪表置于防爆箱中。
2)测试管汇设置有垂直于撬体平面的门型管架,其流入立管上隔一定间距设置差压变送器的传感器两安装接口,接口距离立管两端弯曲处大于管子公称直径的5倍。
3)测试管汇还设置有垂直于撬体平面的管架,含水分析仪安装接口设置在#高竖直管道的顶端。
4)仪表主机设置净化原油的密度与矿化水的密度,可以读取并显示体积流量计、差压变送器、含水分析仪、压力变送器、温度变送器的测量值,计算并显示当前油、水、气三相流的瞬时体积分数及计量过程中三相流各自的累计流量。
2 技术方案
研制新型撬装式单井三相流量计量装置的目的是提供一种结构简单且不需要进行液、气两相或油、水、气三相分离的单井三相流量计量装置,可以对油、水、气三相流分别计量。为了实现上述目的,采用如下技术方案:
1)整个测试装置设置有原油输入口与输出口,用于连接井口预留的测试接口,测试时作为原油输送的旁通管道。积算与显示仪表置于防爆箱中,仪表主机可以读取并显示体积流量计、差压变送器、含水分析仪、压力变送器、温度变送器的瞬时值,计算并显示当前油、水、气三相流的瞬时体积百分比及计量过程中三相流各自的累计流量。
2)三相流体积流量计为容积式流量计,设置在所述装置的输入口后面,三相流的总体积为净原油、矿化水、伴生气的体积之和。
3)差压变送器安装在一截竖直的均匀管道中,用于测试三相流在管中产生的压差,计算井口原油的密度。工程上等速流动的原油密度计算式如下:
20190705100734.jpg
式中:Δp为差压变送器测得的压差,MPa;g为重力加速度,m/s2;h为差压变送器的2个压力传感器的安装中心距离,m;ρz为实时测得的井口原油密度,kg/m3。
4)含水分析仪传感器插入所输送的原油中,用于测试原油含水率ω。
5)压力变送器与温度变送器,用于分别测试计量时输送原油的压力p与温度T,校正净原油的密度及计算标准状态下气体的体积。
6)积算与显示仪表可以是PLC(可编程逻辑控制器)或单片机开发的至少具有一路脉冲信号输入接口、4路4~20mA信号输入接口、电源输入口、液晶显示器及防爆壳体组成的仪表,具有设置输入净原油密度、矿化水密度功能。
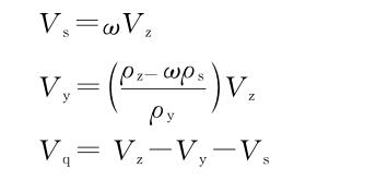
积算与显示仪表计算瞬时体积流量的公式为:
20190705100744.jpg
式中:Vs、Vy、Vq分别为矿化水、净原油、伴生气的体积,m3;Vz为三相流的总体积,m3;ω为原油含水率,1;ρs为实验室测得的该井矿化水密度,kg/m3;ρy为实验室测得的该井净原油密度,kg/m3。
7)测试管汇至少由输入接口、输出接口、连接管道、阀门及在管道上的体积流量计、差压变送器、含水分析仪、压力变送器、温度变送器安装接口组成。为了使用、维护方便,可以设置若干截止阀、旁通管、清洁气体快速接头、废液出口等。
8)差压变送器的两压力传感器安装接口的直管段应是垂直设置的,其内径均匀,具有足够的长度,其位于压力传感器前面的直管长度值应大于公称直径的5倍,保证流过两压力传感器的流型稳定,流速相同。
3 结语
新型撬装式单井三相流量计量装置,采用现有的通用测量仪器,只需要对管汇结构进行一定设计并对流量计积算与显示仪表进行二次开发,就能够对单井原油进行不分离直接计量,其三相流量计量系统误差小、结构简单、制造与使用成本较低,具有很好的市场前景。
注明,三畅仪表文章均为原创,转载请标明本文地址

产品分类 ProductsClass
压力变送器知识
热门文章Technicalnews
智能差压变送器 扩散硅压力变送器 射频导纳开关 投入式液位变送器 双法兰液位变送器 一体化温度变送器 单法兰液位变送器
旋进旋涡流量计|射频导纳液位计|压力控制器| 压力表|隔膜压力表|耐震压力表| 耐磨热电偶|天然气流量计|压缩空气流量计|热式气体质量流量计| 氨气流量计| 热电阻|投入式液位计|
静压式液位计|热电偶温度计|电接点压力表|精密压力表|智能压力校验仪|横河EJA变送器|
销售热线:0517-86998326 86998328 18952302362 13915186942 传真:0517-86998327
3051TG压力变送器 淮安市三畅仪表有限公司 压力变送器 液位变送器 差压变送器 制作版权所有 http://www.tx7878.cn/ © 厂址:江苏省淮安市金湖工业园区