差压变送器

耐震压力表一体化数显温度变送器一体化温度变送器数显压力表高温压力变送器PM10压力变送器小巧型压力变送器2088扩散硅压力变送器高静压差压变送器热电偶温度计智能微差压变送器微差压变送器

静压跟随式差压变送器在线检测装置的研究

作时间:2019-03-25  来源:  作者:
   
    本文主旨:针对静压会对差压变送器的测量准确度产生显著影响的问题,研制了一种新型的静压跟随式差压变送器在线检测装置。该装置是基于差压传感器直接测量差压的原理,采用一个高精度的差压传感器作为标准器,在静压跟随条件下进行差压变送器的检测。研究中采用了#小二乘法曲线拟合的修正方法,以降低差压型标准器的静压影响误差,提高标准器的准确度。
0 引言
    差压变送器实际使用时是在静压状态下测量液体、气体和蒸汽的差压,并将差压变量转换为可传送的标准化输出信号,主要用于工业过程差压参数的测量和控制。但是目前差压变送器的检测通常是在低压端通大气的情况下进行的,没有在变送器高、低压两端口施加静态过程压力,也就是在非静压状态进行检测,与实际使用状态不一致。据报道,英国、挪威和法国在近几年,从 14 个主要制造厂取得的16 台差压变送器样品的静压性能进行了评估,取得了如下的结果:11 台仪表未能满足制造厂关于静压影响的规定指标,静压的影响远大于仪表的准确度要求,其中 2 台仪表在规定的静压值情况下,其量程的变化是其允许误差的 4 倍,可见,静压对差压变送器技术特性影响极大。对于静压性能差的差压变送器,在静压下的差压检测结果会产生很大的误差,如果在检测差压变送器时没有施加规定的静态过程压力,则检测的可信度就会大大降低。我国《压力变送器guojia计量检定规程》对差压变送器静态过程压力和静压影响有特别的规定 [1] 。
    所以针对静压会对差压变送器的差压测量产生静压影响误差的问题[2] ,研究了一套静压跟随式差压变送器在线检测装置,在静压条件下进行差压的测量。
1 总体设计
    静压跟随式差压变送器在线检测装置是基于差压传感器直接测量差压的原理,采用一个高精度的差压传感器作为标准器,在高静压条件下进行差压变送器的检测。由于高精度差压传感器本身就具有高静压下测量差压的性能,所以选择合适的高精度差压传感器直接测量差压是可行的。传感器型式的检测装置不同于传统的活塞式检测装置,更适合用于现场。
    另外,项目研发的装置用于在线检测,该装置的准确度等级是根据现场差压变送器的技术指标来定位的,在线检测的差压变送器多为 0. 5 级及以下准确度等级,所以该项目选择 0. 05 级高精度差压传感器作为在线测量装置的计量标准器。
2 装置的结构和工作原理
    静压跟随式差压变送器的在线检测装置主要由高精度的差压传感器、压力传感器、静压自动控制系统、高静压差压调控系统、平衡阀和信号处理电路及显示单元等几大部分组成,其结构原理框图如图 1所示。
结构原理框图
    在线检测装置基于差压传感器直接测量差压的原理,但静态工作压力应保持在工作压力状态,即静压下的差压测量。
    高精度差压传感器的高、低压侧通过高、低压容腔分别与被测差压变送器的高、低压侧相连接,高、低压容腔由一只平衡阀相连通。静压自动控制系统产生规定的静压压力 p 0 送至低压容腔,待压力平衡稳定后,高精度压力传感器采集到低压容腔压力值p L ,由于平衡阀开启,高压容腔压力 p H 与低压容腔压力 p L 相等,且均为静压压力值,即 pH = p L = p 0 ,此时差压为零。
    关闭平衡阀,应用压力动态密封法,静压自动控制系统对低压容腔进行自动控压,经过稳压调整,使其压力始终保持静压值 p 0 。同时手动调节高静压差压调控系统,采用静压跟随的差压调控技术,增大高压容腔的压力值,分别送至差压变送器和高精度差压传感器的高压侧,与低压侧形成压力差,于是高精度差压传感器直接采集到差压值 p,经过信号处理单元处理,#终以数显的形式在显示装置上指示出差压值 p,这里的 p 即为标准的差压值,换算成理论输出电流值,与被测差压变送器的实际输出值之差即是差压变送器的测量误差。
    继续调节高静压差压调控系统,可得到在恒定静压下的各个差压值,由高精度差压传感器测量并显示在装置的显示单元上。以上过程实现了差压变送器静压跟随下差压测量。
3 装置中标准器的选择
3. 1 标准器量值溯源的测量模型
    高精度差压传感器是装置的标准器,如何选择准确度较高的差压传感器是项目研究的关键。该项目用高静压气体差压活塞式压力计作为高精度差压传感器的上一级计量标准器,进行量值传递。
    高精度差压传感器进行量值溯源的测量模型为:
20190325163203.jpg
    由测量模型可见,差压测量值的不确定度主要是由砝码质量 Δm、活塞有效面积 s 和重力加速度 g的不确定度分量引入的,如果各不确定度分量数值较小,则差压测量值的不确定度数值也较小。经过比较分析,将 0. 05 级的高精度差压传感器量值溯源至 0. 01 级的高静压气体差压活塞式压力计,符合量传体系的要求。
3. 2 标准器静压影响误差的修正
    由于高精度差压传感器本身是差压型的传感器,无论从理论分析还是实际测量都可以发现静压对差压示值的影响。为提高差压传感器的准确度,采用了多重误差曲线的拟合,以减小差压传感器的输出误差。
    用 0. 01 级高静压气体差压活塞式压力计,分别在静压 0,1,2,3,4 MPa 的条件下,对 0. 05 级的差压传感器(压力输出)进行了 3 个循环共 6 次测量,取6 次测量的平均值为传感器实际输出压力值,测试数据如表 1 所示。
高精度差压传感器的测试数据
    测试数据表明,在相同静压作用下,基本上差压越大误差也越大,大致呈线性。随着静压的增大,测量误差随之增大。所以shou先对相同静压下,传感器的实际输出差压值进行线性拟合 [3] 。
    设 x 为标准差压值,z 为传感器实际输出差压值,利用#小二乘法的线性拟合,得到 0,1000,2000,3000,4000 kPa 的静压作用下的直线方程分别为:
    z =1. 000 173x -0. 001 333 (1)
    z =1. 000 053x -0. 001 778 (2)
    z =0. 999 953x -0. 005 111 (3)
    z =0. 999 847x -0. 018 222 (4)
    z =0. 999 750x -0. 021 111 (5)
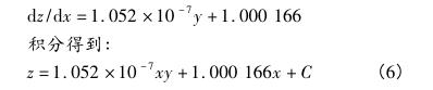
    对式(1) ~ 式(5)分别求导,得到不同静压(0,1000,2000,3000,4000 kPa) 下 dz/dx 的值分别为1. 000 173,1. 000 050,0. 999 953,0. 999 847,0. 999 750。
    设 y 为静压力值,则不同静压与 dz/dx 的函数关系可运用#小二乘法进行线性拟合得到:
20190325163237.jpg
    根据以上分析可知,式(6)中的 C 与静压值 y有以下对应关系:
    y =0 时,C 1 = -0. 001 333;
    y =1000 时,C 2 = -0. 001 778;
    y =2000 时,C 3 = -0. 005 111;
    y =3000 时,C 4 = -0. 018 222;
    y =4000 时,C 5 = -0. 021 111。
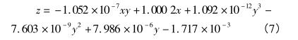
    由此可见,C 函数可近似为高次方曲线,再一次利用#小二乘法进行曲线拟合可以得到修正公式:
20190325163251.jpg
    采用式(7)进行修正后,对于静压为 0,1,2,3,4 MPa时的#大误差均有所减少。通过静压影响误差的修正,将高精度差压传感器的差压测量的准确度进行了优化,减少了静压带来的影响,提高了标准器的准确度。
4 实验
    用静压跟随式差压变送器在线检测装置(课题装置)测试了一台差压变送器,在不同静压条件下的电流输出,与高静压气体差压活塞式压力计(标准装置)测量结果进行比对,结果如图2 ~图6 所示。
20190325163303.jpg
    从以上各图可知:2 个测量结果具有良好的一致性,静压跟随式差压变送器在线检测装置的检测结果完全可信。
5 结论
    静压跟随式差压变送器在线检测装置基于差压传感器直接测量差压的原理,较好地实现了差压变送器在静压条件下差压的在线检测。该文提出的关于静压影响的数据拟合曲线是一种思路和尝试,今后可通过大量的实验数据来整理得出静压对各类型差压压力仪表误差的影响曲线,建立数学模型,减小静压影响误差,为差压型压力仪表的质量提升提供技术支持。
注明,三畅仪表文章均为原创,转载请标明本文地址

您可能感兴趣的文章 Technique
相关产品 Technique
产品分类 ProductsClass

压力变送器厂家

隔膜式单平法兰远传压力变送器

空压机专用压力变送器

恒压供水压力变送器

卫生平膜型压力变送器

炉膛负压变送器

罗斯蒙特3051S压力变送器

压阻式压力变送器

压力变送器壳体

HART375手操器

HART475手操器

3051TG压力变送器

压力控制器

卫生型隔膜压力变送器

隔膜密封式压力变送器

扩散硅压力变送器

SC530A压力变送器

SC430A压力变送器

SC433卫生型压力变送器

SC-BP800压力变送器

智能压力变送器

单法兰压力变送器

一体化风压变送器

高温压力变送器

小巧型压力变送器

2088扩散硅压力变送器

负压变送器

绝对压力变送器

扩散硅压力变送器

3051压力变送器

远传法兰变送器

智能变送器

差压变送器厂家

高静压差压变送器

微差压变送器

单法兰远传压力变送器

隔膜密封式差压变送器

智能差压变送器

双法兰毛细管差压变送器

双法兰差压变送器

远传差压变送器

法兰安装式差压变送器

电容式差压变送器

单法兰凸膜片远传差压变送器

双平法兰远传差压变送器

双法兰高精度差压变送器

单法兰隔膜差压变送器

单法兰差压变送器

SC3351DP智能微差压变送器

液位变送器厂家

射频导纳料位开关

射频导纳物位计

单法兰液位计

硫酸储罐液位变送器

射频导纳料位开关

静压式液位变送器

射频电容液位计

高温投入式液位计

双法兰远传液位变送器

电容式液位变送器

差压式液位计

差压式液位变送器

双法兰液位计

射频导纳物位开关

射频导纳液位计

磁致伸缩液位计

单法兰液位变送器

阻旋式料位开关

投入式液位计

法兰式液位变送器

法兰式液位计

电容式液位计

双法兰液位变送器

高温投入式液位变送器

防腐投入式液位变送器

投入式液位变送器

音叉开关

料位开关

温度变送器

一体化温度变送器

一体化数显温度变送器

双金属温度计

WSSX-411电接点双金属温度计

WSS-401双金属温度计

WSS-481双金属温度计

WSSE-411一体化双金属温度计

WSSX-481B防爆电接点双金属温度计

WSSX-410B防爆双金属温度计

WSSE-501一体化双金属温度计

WSSE-401双金属温度计一体化

指针式温度计

热电偶

高温高压热电偶

高温贵金属热电偶

热风炉拱顶热电偶

电站测温专用热电偶

铠装铂铑热电偶

隔爆热电偶

防爆热电偶

高温高压热电偶

耐磨阻漏热电偶

耐磨热电偶

耐磨切断热电偶

装配热电偶

铠装热电偶

铂铑热电偶

耐磨热电偶

密炼机用耐磨热电偶

低温喷涂耐磨热电偶

煤粉仓耐磨热电偶

水泥厂窑炉用耐磨热电偶

水泥厂专用耐磨热电偶

耐磨热电偶

热电阻

压力校验仪

压力表

数显压力表

精密数字压力表

压力变送器知识
热门文章Technicalnews
炉膛负压变送器 隔膜密封式压力变送器 卫生型压力变送器 差压变送器厂家 3851电容式差压变送器 双法兰毛细管差压液位变送器 静压式液位变送器 电接点压力表 横河EJA压力变送器
射频导纳液位计|压力控制器 |磁翻板液位计|压力表|隔膜压力表|耐震压力表| 耐磨热电偶|天然气流量计|压缩空气流量计|热式气体质量流量计| 氨气流量计| 热电阻|投入式液位计|
静压式液位计|热电偶温度计|电接点压力表|精密压力表|智能压力校验仪|横河EJA变送器|
销售热线:0517-86998326 86998328 18952302362 13915186942 传真:0517-86998327
3051TG压力变送器 淮安市三畅仪表有限公司 压力变送器 液位变送器 差压变送器 制作版权所有 http://www.tx7878.cn/ © 厂址:江苏省淮安市金湖工业园区