差压变送器

电容式液位计投入式液位计微差压变送器音叉开关双法兰液位计3051变送器远传法兰变送器智能变送器单法兰液位计磁致伸缩液位计

试验室差压变送器计量检定中的问题研究

  来源:  作者:

         摘 要: 随着科研生产中差压变送器准确度等级越来越高,量程范围越来越小,现行 JJG 882 -2004《压力变送器检定规程》已不能很好地解决差压变送器计量与使用中量值传递的相关问题,对差压变送器小量程范围感压口余液影响、压力真空量程范围测量影响两个问题进行了试验研究。试验结果显示,如果不能剔除因差压变送器小量程范围感压口余液影响引入的误差,将会对测量结果产生较大的测量不确定度,尤其对于高精度差压变送器影响更为明显,造成测量误差超出#大允许误差;差压变送器压力真空量程范围影响同样是一个需要明确认识的测量问题,正确使用和计量是保证压力真空量程范围差压变送器输出量值准确的非常好途径。为使差压变送器更好地配合实际科研生产,保证其量值传递准确可靠,有必要对差压变送器的计量和使用制定更明确的规程规范,以对其进行指导。nj4压力变送器_差压变送器_液位变送器_温度变送器

 
0 引言
         差压变送器的计量和使用存在较多问题,尤其是测量范围越小的差压变送器,问题越明显,如不在零位、零位回程误差超差、如何测量压力真空范围等。现行的 JJG 882 - 2004《压力变送器检定规程》(以下简称《规程》)中也没有涉及这些问题。本文以使用广泛的二线制差压变送器为例,对感压口余液影响、压力真空范围测量影响两个问题进行分析研究。
 
1 差压变送器原理
         二线制差压变送器通常主要由感压单元、信号处理与转换单元以及显示单元(有些变送器不包含)组成,其结构如图 1 所示。通常在使用、计量过程中,其供电电压默认为 24 VDC(铭牌显示供电电压一般包含有 24 VDC 直流电压),其输出信号为 4 ~20 mA。
二线制差压变送器结构示意图
         在使用或计量过程中,变送器的信号输出连接方式如图 2 所示。在计量过程中,有时会用过程仪表校验器替代电源、直流电流表部分。
差压变送器信号输出连接示意图
         在使用或计量过程中,差压变送器输入连接如图 3 所示。
差压变送器信号输入连接示意图
         在计量过程中,往往会将压力控制系统 1 选择直接通大气。而在使用过程中只有压力控制系统 1、压力控制系统 2,没有压力源部分。
 
2 差压变送器计量
         根据《规程》要求,逐项完成计量检定,在规定的环境条件下完成外观、密封性、绝缘电阻、绝缘强度、基本误差、回程 误差、静 压 影响等 计 量检 定 项目,密封性和绝缘强度可仅在shou次检定中进行。静压影响也在shou次检定中进行,后续检定在必要时应进行检定。
 
         这里仅对计量过程中的几个容易出现的问题进行介绍。
         ①检定点的选择。检定点应按量程基本均匀分布,一般应包含上限值、下限值(或其附近输入量程10%以内),不少于 5 个点;准确度等级优于 0. 1 级的变送器,检定点应不少于 9 个点。
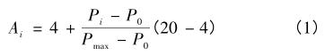
         ②每个检定的理论输出值 A i 的表达式为:
20170922155755.jpg
         式中:P i 为第 i 个检定点的压力值;P 0为下限点的压力值;P max 为上限点的压力值。由式(1)可知,当量程已知,每个检定点的理论输出值都可计算。
 
3 测量结果影响因素研究
3. 1 感压口余液影响
         差压变送器计量时,发现零位误差较大,其他测量点的数据都没有问题。仔细观察后,发现有一个压力端口内(感压单元) 或两个压力端口内存在液体,主要原因是此差压变送器用于液体介质测量,感压单元上附着有数量不等的液体,且此差压变送器的量程较小。
 
         为了避免因这种现象的误导而引入测量不确定度、造成变送器零位示值超差,需要在计量检定前通过使用挥发性强的清洗液清洗两个端口,静置一段时间再次测量零点。
 
         当检定介质为液体时,变送器计量检定过程中,某差压变送器的测量数据如表 1 所示。
 
         测量结果的地衣次上行程零点值与地衣次下行程零点输出值之间的回程误差较大,且地衣次下行程零点值与第二次上行程、下行程零点输出值较为接近,但其他检定点的输出值都比较接近。
 
         这种情况的发生主要是由于地衣次测量与第二次测量为连续测量,变送器 L 端通大气,H 端与压力源连接,压力源的介质为液体造成的。L 端通大气作为差压变送器的零位,H 端与压力源连接,当压力源卸压到零点时,在 H 端感压单元上还附着有部分液体,所以 H 端的压力不是通大气所得到与 L端相同的零点,且此差压变送器的测量范围较小造成了这一现象。这有可能会误导对此变送器的#终检定结果。
 
         为了避免因这种现象的误导而造成的此变送器零位示值超差或来回差超差的结论。通过使用挥发性强的清洗液清洗 H 端后,静置一段时间,再次测量零点的方法解决。得到准确的下行程零点值,对此变送器的检定结果作出准确判定。
 
         同样的问题也在实际科研生产中发生,有些差压变送器被用作普通变送器来测管道内液体的压力(L端通大气,H 端接管道测压口)。当管道内压力为零时,变送器显示不为零,所以就造成一些误读,如管道内未完全卸压、差压变送器损坏、再读数时修正减去零位的示值为#终的读数等。
 
3. 2 压力真空范围测量影响
         计量工作人员比较熟悉( -100 ~100)kPa 量程的压力计量器具,送检中此类器具的测量范围一般为( -90 ~100)kPa。计量工作人员对( - 200 ~ 200)kPa量程的压力计量器具也不会陌生,此量程范围在表压和绝压层面是不存在的,但是在差压领域却是一个存在的量程范围。此量程范围差压计量器具的计量也颠覆了之前约定俗称的差压变送器的计量理念,而关于这一方面的内容在《规程》中没有明确的要求。

与“试验室差压变送器计量检定中的问题研究”相关的知识、案例、论文 Technique
您可能感兴趣的内容 Technique
与“”相关的产品 Technique
产品分类 ProductsClass

压力变送器厂家

微差压变送器 高静压差压变送器 绝对压力变送器 法兰安装式差压变送器 远传差压变送器 负压变送器 2088扩散硅压力变送器 KYB600压力变送器 小巧型压力变送器 PM10系列压力变送器 直装式压力变送器 高温压力变送器 一体化风压变送器 电容式物位仪 单法兰压力变送器 3051L3AA0TD11AAM5隔膜压力变送器 智能压力变送器 BP800压力变送器 SC433卫生型压力变送器 SC430A压力变送器 SC530A压力变送器 双法兰差压变送器 扩散硅压力变送器 智能差压变送器 隔膜密封式差压变送器 隔膜密封式压力变送器 带毛细管压力变送器 卫生型隔膜压力变送器 压力控制器 3051TG压力变送器 HART475手操器 HART475手操器中英文版彩屏手持现场通迅器 压力变送器壳体 压阻式压力变送器 单法兰隔膜差压变送器 罗斯蒙特3051S压力变送器

扩散硅压力变送器

3051压力变送器

远传法兰变送器

智能变送器

差压变送器厂家

微差压传感器 EJA110A智能差压变送器 3051DP单晶硅差压变送器 EJA210E单法兰差压变送器 EJA110A差压变送器 1151DP5E22M1B1D1高静压差压变送器 单法兰远传压力变送器 双法兰毛细管差压变送器 电容式差压变送器 单法兰凸膜片远传差压变送器 双平法兰远传差压变送器 双法兰高精度差压变送器 单法兰差压变送器 SC3351DP智能微差压变送器

液位变送器厂家

电容式液位开关 投入式静压液位计 SWP-T20LG投入式静压液位变送器 罗斯蒙特3051L型液位变送器 投入式液位计 SC-5001N5EXO-6000-1聚四氟乙烯防腐投入式液位计变送器 双法兰差压液位计 BUS504T4BB导气式(平衡罩式)液位变送器 阻旋式料位控制器 插入式液位变送器 射频导纳界面仪 静压式液位计 投入式液位传感器 投入式液位仪 射频导纳液位开关 射频导纳料位开关 射频导纳物位计 单法兰液位变送器 硫酸储罐液位变送器 射频导纳料位计 静压式液位变送器 射频电容式液位计 高温投入式液位计 双法兰远传液位变送器 电容式液位变送器 差压式液位计 差压式液位变送器 差压液位变送器 双法兰液位计 射频导纳物位开关 射频导纳液位计 磁致伸缩液位计 磁致伸缩液位传感器 磁致伸缩液位变送器 单法兰液位变送器 阻旋料位开关 阻旋式料位计 投入式液位计 法兰式液位变送器 法兰式液位计 电容式液位计 电容式液位传感器 液位变送器厂家 高温投入式液位变送器 防腐投入式液位变送器 投入式变送器 投入式液位变送器

音叉开关

料位开关

温度变送器

一体化带热电阻温度计现场显示4-20mA输出 压力式温度计 就地温度显示仪 就地温度计 数字温度计 一体化数显温度计SBWZ-2460/240 数显温度计 通用型智能温度变送器 SBWZ导轨式温度变送器 防爆数显温度计 PT100热电阻一体化温度变送器(0-100℃)带变送4-20MA输出 SBWZ-2460热电阻温度变送器 热电偶温度计 一体化数显温度变送器 一体化温度变送器 一体化温度变送器

压力校验仪

压力表

数显压力表

精密数字压力表

双金属温度计

WSS-480双金属温度计

WSS-513双金属温度计

WSS-465双金属温度计

一体化带远传温度计WTY-1031

WTY-103/11带远传温度计

WSSX-411电接点双金属温度计

电接点双金属温度计

WSS-401双金属温度计

WSS-481万向型双金属温度计

WSSE-411一体化双金属温度计

WSSX-481B防爆电接点双金属温度计

WSSX-410B防爆双金属温度计

WSSE-501一体化双金属温度计

WSSE-401双金属温度计一体化

指针式温度计

热电偶

WRNR2-01热套式热电偶

B型热电偶,耐高温1800°C

高温高压热电偶

高温贵金属热电偶

热风炉拱顶热电偶

电站测温专用热电偶

铠装铂铑热电偶

隔爆热电偶

防爆热电偶

高温高压热电偶

耐磨阻漏热电偶

耐磨热电偶

耐磨切断热电偶

装配热电偶

铠装热电偶

铂铑热电偶

耐磨热电偶

密炼机热电偶

WRNN2-230耐磨热电偶

WRNN2-130耐磨热电偶

WRNN2-430B耐磨热电偶

密炼机用耐磨热电偶

低温喷涂耐磨热电偶

煤粉仓耐磨热电偶

水泥厂窑炉用耐磨热电偶

水泥厂专用耐磨热电偶

耐磨热电偶

热电阻

智能差压变送器 扩散硅压力变送器 射频导纳开关 投入式液位变送器 双法兰液位变送器 一体化温度变送器 单法兰液位变送器
旋进旋涡流量计|射频导纳液位计|压力控制器| 压力表|隔膜压力表|耐震压力表| 耐磨热电偶|天然气流量计|压缩空气流量计|热式气体质量流量计| 氨气流量计| 热电阻|投入式液位计|
静压式液位计|热电偶温度计|电接点压力表|精密压力表|智能压力校验仪|横河EJA变送器|
销售热线:0517-86998326 86998328 18952302362 13915186942 传真:0517-86998327
3051TG压力变送器 淮安市三畅仪表有限公司 压力变送器 液位变送器 差压变送器 制作版权所有 http://www.tx7878.cn/ © 厂址:江苏省淮安市金湖工业园区